Glucose; dextrose

Solución. Mientras proyecciones Fischer son usadas para la posición de silla abierta, proyecciones Haworth son usadas para ver azucares en su forma cíclica. El diastereómero beta de la forma cíclica de glucosa es mostrada abajo en tres diferentes representaciones, con la proyección Haworth en el medio. A pesar que la proyección Haworth.
¿Qué es la Glucosa y qué funciones realiza en nuestro cuerpo?

Figura 20.3.1 20.3. 1: Ciclización de D-Glucosa. La D-glucosa se puede representar con una proyección Fischer (a) o tridimensionalmente (b). Al hacer reaccionar el grupo OH en el quinto átomo de carbono con el grupo aldehído, se produce el monosacárido cíclico (c). Cuando un monosacárido de cadena lineal, como cualquiera de las.
Estructura de fisher
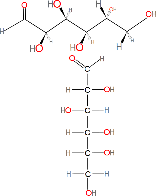
A continuación se presentan tres representaciones de la forma de cadena abierta de D-glucosa: en la proyección Fischer convencional (A), en la variación de "estructura lineal" de la proyección Fischer en la que no se muestran carbonos e hidrógenos (B), y finalmente en el estilo 'zigzag' (C) que es preferido por los químicos orgánicos.
Science Image Archive for Teachers

2) ¿De qué tipo, según el nº de átomos de C? 3) ¿Son D o L? Escribir sus enantiómeros. 4) Escribir los epímeros en 2, 4 y 5 de la D-glucosa (manosa, galactosa e idosa) y decir si son D o L. 5) Escribir las formas cíclicas de los anómeros α y β de la D-glucopiranosa y de la D-fructofuranosa en proyección de Haworth.
CLASIFICACIÓN DE LOS GLÚCIDOS Mind Map

La estructura cíclica de la glucosa es esencial para su función en nuestro metabolismo. Esta forma cíclica permite su transporte y metabolismo eficiente dentro de nuestras células, y también influye en su capacidad para participar en procesos bioquímicos clave. Comprender la estructura cíclica de la glucosa nos ayuda a apreciar su.
Estructura Quimica De La Glucosa
Biomodel-6 Estructura de glúcidos. Los aspectos más básicos se presentan en Biomodel-3: Monosacáridos: estructuras 3D de glucosa y fructosa (formas cíclicas) Disacárido: estructuras 3D de sacarosa , maltosa y celobiosa. Polisacáridos: estructuras 3D de celulosa, amilosa, amilopectina, glucógeno, sulfato de queratano, agarosa.
The Molecules of Life

Proyección de una molécula tetraédrica sobre una superficie plana. Visualización de una Proyección de Fischer. La proyección de Fischer, ideada por el químico alemán Hermann Emil Fischer en 1891, [1] es una proyección bidimensional utilizada en química orgánica para representar la disposición espacial de moléculas en las que uno o más átomos de carbono están unidos a 4.
Haworth And Fischer Projection Of Glucose slidesharedocs
Transcripción del video. del lado izquierdo tenemos la proyección de fisher que es otra forma de representar una molécula fisher llegó a esto cuando trabajaba con carbohidratos incluso ganó el premio nobel de química observen que donde se cruzan estas líneas tenemos un carbono es un centro quiral porque tenemos cuatro grupos diferentes.
Molécula De La Glucosa, Ilustración del Vector Imagen 40168393
Adquiere nuestro libro aquí:https://www.bioquimicadepastor.com/libroYa no habrá guías individuales de cada tema, ahora si quieres obtener el capítulo de Amin.
Ciencias de Joseleg Fórmulas de proyecciones de Fischer

Configuración. La glucosa es, con mucho, el monosacárido más abundante; se presenta libre en frutos, plantas, miel, en la sangre de animales, y combinada en muchos glucósidos, disacáridos y polisacáridos. La estructura y propiedades de la glucosa serán consideradas con mayor detalle que las de los otros monosacáridos, no sólo por su.
glucosa2 Química en

La estructura de dos isómeros de la glucosa se aprecia en la Figura 8.1. Al ver la Figura 8.1 se aprecia por qué la glucosa es una aldohexosa: observe la función aldehído en el átomo de carbono 1, todos los otros átomos de carbono tienen un grupo alcohol (OH) y por lo tanto la glucosa cae dentro de la definición de carbohidrato..
Importancia de la estereoquímica en la investigación química y biológica Usos de ChemDraw

Las proyecciones de Fischer se utilizan normalmente para representar monosacáridos y aminoácidos. Son útiles para representar los monosacáridos porque tienen tantos estereocentros , o carbonos con cuatro enlaces únicos, y los diferentes monosacáridos son todos bastante similares, solo son diferentes en la orientación de los estereocentros.
glucosa Química en

Realice las proyecciones de FISCHER de la glucosa: Proyección de Haworth de la glucosa Proyecciones de Fischer de la glucosa • Realice las proyecciones de FISCHER del 3,4-diamino-hexano: Están presente dos carbonos quirales (3 y 4), quedando: Características de las Proyecciones de Fisher. Las líneas horizontales y verticales proyectan los.
Estructura y función de la glucosa LIBRO ELECTRÓNICO DE BIOQUÍMICA Juan José Martínez Guerra

Esta composición es la que da su nombre a los carbohidratos: están compuestos de carbono ( carbo -) más agua (- hidrato ). Las cadenas de carbohidratos tienen diferentes longitudes, y los carbohidratos importantes a nivel biológico pertenecen a tres categorías: monosacáridos, disacáridos y polisacáridos. En este artículo, aprenderemos.
Estructura Quimica De La Glucosa

Monosacáridos: estructura y funciones. Son los glúcidos más sencillos. Químicamente están constituidos por una sola cadena de polialcoholes con un grupo aldehído o cetona, y por ello no pueden descomponerse mediante hidrólisis. Son dulces, solubles en agua, y forman cristales blancos que por el calor pueden caramelizarse.
Glucosa • Compuesto de la semana •

La estructura de la glucosa. Tomando en cuenta que la glucosa es considerada un monosacárido o un monómero el cual contiene un sexteto de carbones. Estos se encuentran unidos entre sí por medio de una línea. En el caso del primer carbono es perteneciente a todo un grupo de los mismos carbonilos H-C=o. Los otros cinco carbonos restantes son.
.